_dp_fct (DP function)
You can assign a function to a datapoint element via a config panel. In this way you can implement mathematical links between datapoints. The datapoint function contains one or more parameters used to calculate the value of the defined function and to assign it to the original value of the datapoint element. The permissible parameters p1...pn are the "original" or "online" values of elements of other datapoints.
In order to rule out endless loops during internal processing of the respective data points, do not use a datapoint element as a parameter in its function.
The function itself is defined as a mathematical link of the parameters. Of course, you can also assign DP functions to datapoints in Control scripts using dpSet() (see User Manual, Control Functions).
Only use datapoint elements of the own system as parameters!
When you select the "dp_fct" config the following panel is displayed. The top field displays the name of the datapoint element to be edited. In the Function type combo box you can choose between
- DPE connection
- Statistical function
Click the Configure button to open the panel to configure the selected function. Click the button Close to leave the panel.
Dp function
The config attributes can be found in the Appendix.
DP function panel
If you selected DPE link as the function type, pressing the button Configure will open the following panel:
Parameters
The Parameters list lists the parameters to be linked when calculating the function.
- Enter new parameters in the Parameters list.
- The order of parameters is specified using the buttons (see Buttons). The current item is displayed selected in the list of parameters.
- Selected items can be removed from the list by pressing Delete.
- You can edit selected items in the Value of a DPE as parameter
p.. table by left-clicking the item in the table, entering a new
DPE into the "p..=" text field and then clicking the button
. The selected item is replaced by the item in
the "p..=" text field.
- The button DP
is used to enter datapoint
parameters. Click this button to open the Datapoint
Selector dialog box.
Configure equal datapoint elements (with different configs) only sequentially, to avoid equal internal times. Otherwise you cause error messages.
In the same way you can define the global variable for datapoint functions. Global variables are, however, only called once, after which changes in values are not taken into account. This means that the function value is always multiplied by the same value of g1.
Function
This field is used to define the datapoint function and to link parameters with each other. Permissible inputs are defined parameters p1, p2, ... and mathematical links. Mathematical operators +,-,*,/,%,&,|,^,~,<<,>>, &&, ||, ?, <,>,<=,>=,==,!=,++ can be used, see chapter Operators in CONTROL.
An assignment by using = is not permitted!
You can also use a CONTROL function with a return value. Note that waiting functions ( dpSetWait, delay, dpQuery …) are not permitted. Furthermore, the system() function is not permitted.
The following code is generated for a dpFunction:
anytype work(anytype p1, … anytype pn)
{
return <string of the edit line in PARA>;
}
EXAMPLE: p1 + p2 are used as follows:
anytype work(anytype p1, anytype p2)
{
return p1 + p2;
}
The expression must be a valid CTRL script. By using a function, you can also use it as follows:
If a dp_fct dynlen(p1) is configured for an integer DPE and p1 is a dyn DPE:
anytype work(anytype p1)
{
return dynlen(p1);
}
To use a user-defined CTRL functions in the _dp_fct, a config must be used, as the Event Manager must know that it must load the library that contains this function. This can be done with an entry in the config.level or the config file as follows:
[event]
LoadCtrlLibs = "OwnFunctions.ctl"
If a function in the OwnFunctions.ctl file looks as follows:
anytype workTest(anytype p1, anytype p2)
{
return p1 + p2;
}
The function must be loaded into the _dp_fct as follows:
workTest(p1,p2)
If you call a function of a CTRL library ( <proj_path>/libs) in the Function text field you can use the return value of the function for the calculation.
Example
This example describes how to use the DP function. In this example the sum C=A+B is calculated. There are three datapoints of the type int - "datapoint_C", "datapoint_A" and "datapoint_B".
- Add a _dp_fct config to the datapoint "datapoint_C" via the PARA module:
- Click on the item "_dp_fct" of "datapoint_C" to open the "DP function" panel. Select the Function Type: DPE connection.
- Click on the Configure ... button to open the Configuration panel.
- Enter the first parameter "datapoint_A.:_original.._value" in the text field below the Value of a DPE as parameter p table or select the datapoint via the datapoint selector.
- Click the button To
to add the item to
the list of parameters and display it. - Enter the second parameter "datapoint_B.:_original.._value" and click again the
button
to add it. - The function must be loaded into the _dp_fct as follows:
workTest(p1,p2)
- Click the button Apply and then OK to store the function for the datapoint "datapoint_C".
- Set values for the datapoints "datapoint_A" and "datapoint_B". Check the original value of the datapoint "datapoint_C". The sum of the datapoints "datapoint_A" and "datapoint_B" is written to the datapoint "datapoint_C".
Old new Comparison
You can activate old/new comparison for this datapoint function by ticking this check box.
Statistical functions
If buffers are still pending at the time of initialization and these buffers contain data that is relevant for the function calculations, the correctness of the results of the statistical functions cannot be guaranteed, as the data that still needs to be written to the database has not been taken into account.
Parameters tab
- The name (and description or alias) of the datapoint element to be edited is displayed at the top right of the panel in the combo box.
- The datapoint attributes are selected using the DP selector button or entered directly in the input box. This input is mandatory.
- The 4 buttons are used to add the item before or after the last item, and to edit or delete the item.
- Alongside there is a combo box in which you can select various statistical functions.
- Below that you can specify the global variable (optional). The variable is only called once, as in DP functions, changes of values are not taken into account (see above).
- The result of the function is defined in the bottom input box.
| Type | int / float | bit | all | Control constant | Comment |
|---|---|---|---|---|---|
| Minimum | yes | SF_MIN | |||
| Maximum | yes | SF_MAX | |||
| Minimum time | no (time) | SF_MIN_TIME | Time when minimum occurs | ||
| Maximum time | no (time) | SF_MAX_TIME | Time when maximum occurs | ||
| Number | yes | yes | yes | SF_NUMBER | |
| Sum | yes | SF_SUM | |||
| Integral 0 | yes | SF_INTEGRAL0 | Integral by stepped curve (0 order) | ||
| Integral 1 | yes | SF_INTEGRAL1 | Integral by linear interpolation (1 order) | ||
| Average | yes | SF_AVG | Sum/number | ||
| Average 0 | yes | SF_AVG_WT0 | Integral by stepped curve (0 order)/time | ||
| Average 1 | yes | SF_AVG_WT1 | Integral by linear interpolation (1 order)/time | ||
| Time 0 | yes | SF_TIME0 | Time for which state 0 existed | ||
| Time 1 | yes | SF_TIME1 | Time for which state 1 existed | ||
| State change | yes | SF_CHANGES | Number of state changes (both 0 -> 1 and 1 -> 0) | ||
| Change 0 -> 1 | yes | SF_CHANGES01 | Number of state changes 0-> 1 | ||
| Change 1>0 | yes | SF_CHANGES10 | Number of state changes 1 > 0 | ||
| Start value | yes | SF_SAMPLE | Value at start of interval | ||
| End value | yes | SF_ENDVALUE | Value at end of interval | ||
| Difference | yes | SF_DIFF | End value less start value |
Minimum and maximum values are calculated from the stepped curve interpolation and not from the series of values, i.e. minimum and maximum time are always in the current range and if no new values occur during an interval, minimum and maximum contain the first known value of an interval as time stamp.
Both integral functions return their result in the unit: unit of base variable multiplied by seconds.
Synchronization tab
The time of calculation is set on the Synchronization tab.
Example
- Select a calculation time interval (Calc.time interval), e.g., 86400 for a calculation for one day. The button with the clock opens a dialog box (see figure below) which allows you to define longer periods.
- Enter the time(s) at which you want a calculation to take place: the calculation can be restricted to a month, to a day of the week, to a day of month or to a combination of these. On the Parameter tab, select what type of calculation (e.g. average) should be executed.
Example
Example
- A calculation can be restricted to a month. Select the month 6 from the In month. no. combo box. The calculation is executed every day in June.
- A calculation can be restricted to a day of month. Activate in addition to the option In month. no. the check box On day of month and select the number 2. The calculation is only executed on the 2nd of June (2.6)
- Activate in addition to the above described options the check box On day of week and select the day "Wednesday". The calculation is executed on the 2nd of June but only if the 2nd of June is a Wednesday.
- Enter a value for the auto delay. The calculation is automatically delayed until the first value that does not fit in the interval, occurs (can be used, for example, when editing laboratory values manually).
Delay: You can also enter a value that delays the calculation accordingly. The calculation is automatically delayed as long as the first value that does not fit the interval, occurs. You can, for example, calculate the day average so that the function also includes the last hourly average in the calculation.
In case of a new datapoint, you can set the time for the delayed calculation, for a value, up to a week before the date you created the datapoint. For example, today is the 24th of July. You can create a new datapoint with a statistical function and delayed calculation and then enter a historic value, for example, 20th of July.
Consider the following for datapoints that contain compression levels: If you set the delay time of a master datapoint equal to the calculation time interval, random delay times are created for the datapoints of the master datapoint, as follows:
- Minute value -> 10 - 50
- 5 minute value -> 70 - 200
- 10, 15 minute value -> 210 - 600
- Hourly value -> 610 - 1800
- Daily value -> 1810 - 3600
- Monthly value -> 3610 - 10000
- >Monthly value -> 14410 - 18010 -> after 5 hours also the annual values are calculated!!
The times above are time intervals of compression levels. For more information, see chapter Archiving and Compression, basics
If you have e.g. a datapoint type with the compression level "5 Minute value" and set the auto delay of the statistical function of the master datapoint, equal to the calc.time interval, the auto delay for the element "C1" (5 minute value) of the datapoint (created via the AC compression) is set to a value between 70 and 200 (see the list above).
- Floating calculation. This option allows you to calculate a value of an arbitrary function. The floating calculation can be used for all statistical functions. How many values are calculated results from the Calculation time interval and the Part interval (see figure below). The average of the, for example, last four fifteen minute values of the last hour. Note that the Part interval has to be an integer. If the Calculation time interval (Calc. time interval) is one hour and the Part interval is 10 minutes, 6 values are calculated (the value of the last hour is calculated every 10 minutes).
- Initialize calculation from archive. Click on the option to obtain the values from the entire month. If this option is set, the data for the actual period is read from the archive at system startup and will then be used in the calculation.
- This option shall be set for all calculation intervals
- which use input signals that are saved inside the archive.
- with a calculation interval higher then the average startup time of the project.
- With the selection of this option the statistical functions allow you to display intermediate results cyclically. The user can, for example, view the daily maximum so far while saving a daily maximum. Enter the time intervals for the floating calculation into the Part interval text field. The text field is only shown after selecting the Floating calculation option. See step 4 for part interval and floating calculation.
Each value, that coincide with the intervals limit, is computed only once at the beginning of the interval.
If the Event Manager does not manage to calculate the statistical functions in time (e.g. because of overload), all older periods (Calc.time interval) in the buffer beginning from a delay of n intervals (regardless of possible delay time!) are discarded, a message is shown and the last n interval is calculated. n can be specified via the config entry statFctMaxIntervalsInPast (Default is 3). 3 intervals are considered (interval beginning from the end of the interval until the current time). This is also valid for functions with delayed calculation. These have to be executed within 3 periods otherwise the lapsed periods are discarded.
Bit tab
On the Bit tab you can specify what effect status bits have on calculations.
It is also possible to add the quality information to the result value.
| checked status bit | added status bit |
|---|---|
| invalid | aut_inv |
| default | exp_default |
| userbit1 | userbit1 |
| .... | .... |
| userbit8 | userbit8 |
A column lists all bits that can affect the calculation. You can set one threshold per bit. To do so, enter a value in the appropriate field.
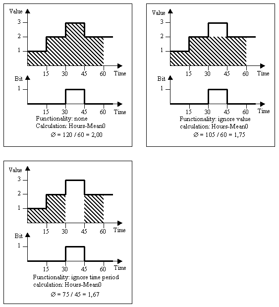
Select from the following options in the Status bit handling combo box:
- None: The status bit is not taken into account for calculation (default).
- Ignore Value: values for which this bit is set are processed as if they had never occurred, the calculation period for statistical functions is not affected by this. If you have specified that value or time bits are processed for several bits, the affected bits are combined by an OR and the result bit is used for calculation. Moreover, all of these bits must have the same status bit treatment configured. Otherwise a parameter error will occur (if, e.g., the ASCII Manager inputs such data).
- Ignore Period: the period in which the bit was set is not taken into account for calculation. If you have specified that value or time bits are processed for several bits, the affected bits are combined by an OR and the result bit is used for calculation. Moreover, all of these bits must have the same status bit treatment configured. Otherwise a parameter error will occur (if, e.g., the ASCII Manager inputs such data).
-
Transfer Bits: The status bit is not taken into account for the calculation. Additionally the status bit is transferred according to the selected threshold. In other words the status bit is set for the _original config of the datapoint element for which the _dp_fct was activated.
The threshold is a value in per cent and is evaluated as follows:
- If the bit is set the same length or longer from the calculation interval than the time Threshold %, the bit from the column "added status bit" is set in the result bit (the bits "invalid" and "default" are read-only attributes and cannot be added directly).
- If threshold = 0%, every occurrence causes the bit to be added.
- If it is a negative value (default = -1) the bit is never added. The "aut_inv" bit is already set in the current statistical functions when internal errors occur. This invalid state is linked with the OR derived from the "invalid" bit.
Correction values and statistical functions
Correction value handling has been added to the statistical DP functions. This is performed automatically when you register the DP function to the config "_offline.._value" (but not for _original/_online.._value). Details:
The user sends a correction value xx.:_corr.._value to a datapoint that is the source for another statistical function. In this case, the Event Manager recalculates the statistical function. Two cases are possible:
Interval not yet calculated:
If the interval has not been calculated, the correction value is included in the current calculation at the end of the interval. The following also applies:
- the dependent value (the daily value in the examples) is only marked as a correction value if the change is greater than statFctLimitForMarkAsCorrcted (default: 0; see below) in relation to the non-corrected daily value.
- Otherwise, the value is sent without correction. For this decision, the value WITHOUT corrections (online value) is compared to the value WITH corrections (offline value) (see Config entry statFctInheritCorrValues).
Example
To obtain an hourly mean, a daily mean and a monthly mean from a reading. The hour value of 02:00 is corrected by 06:00, then a daily value that is not calculated until 24:00 must be calculated with this correction.
Interval already calculated
If the interval is already finished, the calculation must be performed from the history values in order to mark a value as a correction value.
This correction value can then be used for calculation of another statistical function (recursion!).
Example
Yesterday's hour value, 02:00, is corrected by 06:00 today. Then the daily value that was already calculated is recalculated. This daily value from yesterday, in turn, is contained in the monthly value that has not been calculated yet. This monthly value is reinitialized again according to the first method.
statFctInheritCorrValues
You can set the behavior of statistical functions in the config file. The config entry statFctInheritCorrValues (type: bool, default: 1) decides whether the correction values should be accepted. By default, the correction value changes are accepted.
[general]
statFctInheritCorrValues = 1
If 0, changes are not accepted, the statistical functions work as usual.
statFctLimitForMarkAsCorrected
[general]
statFctLimitForMarkAsCorrected = 0If 0, all values are marked as corrected. Values greater than 0 only mark values as of a change greater than x %%.
The correction values that are set for the statistical functions, trigger a recalculation exclusively in the period where they were set. The following periods are not recalculated.
If a correction value has an influence on the last value of the period, also the following period should be recalculated as long as the correction value does not cause a change in the following periods, compared to the original values.
Example
A constant value, for example, 10 existed for several days. A daily average was calculated from this value. If this value is corrected to 15, all following periods that were created in this period should be recalculated. The following periods are, however, not recalculated. Only the daily average of the DAY for which the correction value is set, is corrected. The daily average remains 10 for all following days. In the same way, the weekly value of the week during which the daily correction value was set, is corrected. The following weekly value is, however, not corrected.
